Download SAS Statistical Business Analysis SAS9: Regression and Model.A00-240.PracticeDumps.2018-03-10.65q.tqb

Vendor: SASInstitute
Exam Code: A00-240
Exam Name: SAS Statistical Business Analysis SAS9: Regression and Model
Date: Mar 10, 2018
File Size: 4 MB

How to open TQB files?

Files with TQB (Taurus Question Bank) extension can be opened by Taurus Exam Studio.

Demo Questions

Question 1
Refer to the ROC curve: 
  
As you move along the curve, what changes?
  1. The priors in the population
  2. The true negative rate in the population
  3. The proportion of events in the training data
  4. The probability cutoff for scoring
Correct answer: D
Question 2
When mean imputation is performed on data after the data is partitioned for honest assessment, what is the most appropriate method for handling the mean imputation?
  1. The sample means from the validation data set are applied to the training and test data sets.
  2. The sample means from the training data set are applied to the validation and test data sets.
  3. The sample means from the test data set are applied to the training and validation data sets.
  4. The sample means from each partition of the data are applied to their own partition.
Correct answer: B
Question 3
An analyst generates a model using the LOGISTIC procedure. They are now interested in getting the sensitivity and specificity statistics on a validation data set for a variety of cutoff values. 
Which statement and option combination will generate these statistics?
  1. Score data=valid1 out=roc;
  2. Score data=valid1 outroc=roc;
  3. mode1 resp(event= '1') = gender region/outroc=roc;
  4. mode1 resp(event"1") = gender region/ out=roc;
Correct answer: B
Question 4
In partitioning data for model assessment, which sampling methods are acceptable? (Choose two.)
  1. Simple random sampling without replacement
  2. Simple random sampling with replacement
  3. Stratified random sampling without replacement
  4. Sequential random sampling with replacement
Correct answer: AC
Question 5
Which SAS program will divide the original data set into 60% training and 40% validation data sets, stratified by county? 
  
  1. Option A
  2. Option B
  3. Option C
  4. Option D
Correct answer: C
Question 6
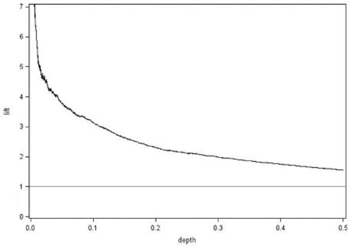
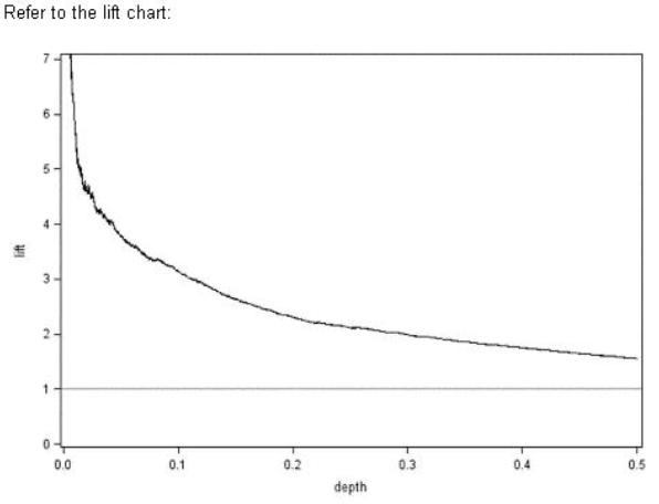
Refer to the lift chart: 
  
At a depth of 0.1, Lift = 3.14. What does this mean?
  1. Selecting the top 10% of the population scored by the model should result in 3.14 times more events than a random draw of 10%.
  2. Selecting the observations with a response probability of at least 10% should result in 3.14 times more events than a random draw of 10%.
  3. Selecting the top 10% of the population scored by the model should result in 3.14 times greater accuracy than a random draw of 10%.
  4. Selecting the observations with a response probability of at least 10% should result in 3.14 times greater accuracy than a random draw of 10%.
Correct answer: A
Question 7
Refer to the lift chart: 
  
What does the reference line at lift = 1 corresponds to?
  1. The predicted lift for the best 50% of validation data cases
  2. The predicted lift if the entire population is scored as event cases
  3. The predicted lift if none of the population are scored as event cases
  4. The predicted lift if 50% of the population are randomly scored as event cases
Correct answer: B
Question 8
Suppose training data are oversampled in the event group to make the number of events and non-events roughly equal. A logistic regression is run and the probabilities are output to a data set NEW and given the variable name PE. A decision rule considered is, "Classify data as an event if probability is greater than 0.5." Also the data set NEW contains a variable TG that indicates whether there is an event (1=Event, 0= No event). 
The following SAS program was used. 
  
What does this program calculate?
  1. Depth
  2. Sensitivity
  3. Specificity
  4. Positive predictive value
Correct answer: B
Question 9
Refer to the exhibit: 
   
The plots represent two models, A and B, being fit to the same two data sets, training and validation. 
Model A is 90.5% accurate at distinguishing blue from red on the training data and 75.5% accurate at doing the same on validation data. Model B is 83% accurate at distinguishing blue from red on the training data and 78.3% accurate at doing the same on the validation data. 
Which of the two models should be selected and why?
  1. Model A. It is more complex with a higher accuracy than model B on training data.
  2. Model A. It performs better on the boundary for the training data.
  3. Model B. It is more complex with a higher accuracy than model A on validation data.
  4. Model B. It is simpler with a higher accuracy than model A on validation data.
Correct answer: D
Question 10
Assume a $10 cost for soliciting a non-responder and a $200 profit for soliciting a responder. The logistic regression model gives a probability score named P_R on a SAS data set called VALID. The VALID data set contains the responder variable Pinch, a 1/0 variable coded as 1 for responder. Customers will be solicited when their probability score is more than 0.05. 
Which SAS program computes the profit for each customer in the data set VALID? 
  
  1. Option A
  2. Option B
  3. Option C
  4. Option D
Correct answer: A
HOW TO OPEN VCE FILES

Use VCE Exam Simulator to open VCE files
Avanaset

HOW TO OPEN VCEX FILES

Use ProfExam Simulator to open VCEX files
ProfExam Screen

ProfExam
ProfExam at a 20% markdown

You have the opportunity to purchase ProfExam at a 20% reduced price

Get Now!