Download Certified Associate in Python Programming.PCAP.Train4Sure.2019-03-20.40q.tqb

Vendor: Python Institute
Exam Code: PCAP
Exam Name: Certified Associate in Python Programming
Date: Mar 20, 2019
File Size: 2 MB

How to open TQB files?

Files with TQB (Taurus Question Bank) extension can be opened by Taurus Exam Studio.

Demo Questions

Question 1
What will be the value of the i variable when the while e loop finishes its execution? 
  
  1. 1
  2. 0
  3. 2
  4. the variable becomes unavailable
Correct answer: A
Explanation:
  
  
Question 2
And operator able to perform bitwise shifts is coded as (select two answers)
  1. --
  2. ++
  3. <<
  4. >>
Correct answer: CD
Explanation:
Reference: https://www.geeksforgeeks.org/basic-operators-python/
Reference: https://www.geeksforgeeks.org/basic-operators-python/
Question 3
What will the value of the i variable be when the following loop finishes its execution? 
  
  1. 10
  2. the variable becomes unavailable
  3. 11
  4. 9
Correct answer: B
Explanation:
Reference: https://www.programiz.com/python-programming/pass-statement
Reference: https://www.programiz.com/python-programming/pass-statement
Question 4
The following expression 
1+-2 
is:
  1. equal to 1
  2. invalid
  3. equal to 2
  4. equal to -1
Correct answer: D
Explanation:
  
  
Question 5
A complier is a program designed to (select two answers)
  1. rearrange the source code to make it clearer
  2. check the source code in order to see of it’s correct
  3. execute the source code
  4. translate the source code into machine code
Correct answer: BC
Question 6
What is the output of the following piece of code? 
  
  1. ant’ bat’ camel
  2. ant”bat” camel
  3. antbatcamel
  4. print (a, b, c, sep= ‘ ” ’)
Correct answer: B
Explanation:
  
  
Question 7
What is the expected output of the following snippet? 
  
  1. the code is erroneous
  2. 3
  3. 7
  4. 15
Correct answer: A
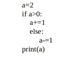
Question 8
How many lines does the following snippet output? 
  
  1. three
  2. one
  3. two
  4. four
Correct answer: C
Question 9
Which of the following literals reflect the value given as 34.23 (select two answers)
  1. .3423e2
  2. 3423e-2
  3. .3423e-2
  4. 3423e2
Correct answer: AB
Explanation:
  
  
Question 10
What is the expected output of the following snippet? 
  
  1. 3
  2. 1
  3. 2
  4. the code is erroneous
Correct answer: A
Explanation:
  
  
HOW TO OPEN VCE FILES

Use VCE Exam Simulator to open VCE files
Avanaset

HOW TO OPEN VCEX FILES

Use ProfExam Simulator to open VCEX files
ProfExam Screen

ProfExam
ProfExam at a 20% markdown

You have the opportunity to purchase ProfExam at a 20% reduced price

Get Now!