Download Certified Associate in Python Programming.PCAP.BrainDumps.2019-09-23.34q.tqb

Vendor: Python Institute
Exam Code: PCAP
Exam Name: Certified Associate in Python Programming
Date: Sep 23, 2019
File Size: 833 KB

How to open TQB files?

Files with TQB (Taurus Question Bank) extension can be opened by Taurus Exam Studio.

Demo Questions

Question 1
What is the expected output of the following snippet? 
  
  1. the code is erroneous
  2. 3
  3. 7
  4. 15
Correct answer: A
Question 2
How many lines does the following snippet output? 
  
  1. three
  2. one
  3. two
  4. four
Correct answer: C
Question 3
What is the expected output of the following snippet? 
  
  1. 3
  2. 1
  3. 2
  4. the code is erroneous
Correct answer: A
Explanation:
  
  
Question 4
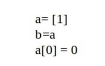
Assuming that the following snippet has been successfully executed, which of the equations are True? (Select two answers) 
  
  1. len(a) == len (b)
  2. b [0] +1 ==a [0]
  3. a [0] == b [0]
  4. a [0] + 1 ==b [0]
Correct answer: AC
Explanation:
  
  
Question 5
What is the expected output of the following snippet? 
  
  1. 1
  2. 2
  3. 3
Correct answer: C
Explanation:
  
  
Question 6
What is the expected output of the following snippet? 
  
  1. abc
  2. The code will cause a runtime exception
  3. ABC
  4. 123 
Correct answer: B
Explanation:
  
  
Question 7
How many elements will the list2 list contain after execution of the following snippet? 
  
  1. zero
  2. five
  3. seven
  4. three
Correct answer: C
Explanation:
  
  
Question 8
What would you used instead of XXX if you want to check weather a certain ‘key’ exists in a dictionary called dict? (Select two answers) 
  
  1. ‘key’ in dict
  2. dict [‘key’] != None
  3. dict.exists (‘key’)
  4. ‘key’ in dict.keys ( )
Correct answer: B
Explanation:
Reference: https://thispointer.com/python-how-to-check-if-a-key-exists-in-dictionary/
Reference: https://thispointer.com/python-how-to-check-if-a-key-exists-in-dictionary/
Question 9
You need data which can act as a simple telephone directory. You can obtain it with the following clauses (Select two relevant variants; assume that no other items have been created before)
  1. dir={‘Mom’: 5551234567, ‘Dad’: 5557654321} 
  2. dir= {‘Mom’: ‘5551234567’, ‘Dad’: ‘5557654321’}
  3. dir= {Mom: 5551234567, Dad: 5557654321}
  4. dir= {Mom: ‘5551234567’, Dad: ‘5557654321’}
Correct answer: CD
Question 10
Can a module run like regular code?
  1. yes, and it can differentiate its behavior between the regular launch and import
  2. it depends on the Python version
  3. yes, but in cannot differentiate its behavior between the regular launch and import
  4. no, it is not possible; a module can be imported, not run
Correct answer: D
Explanation:
You write a module (a .py file) where it can be executed directly. Alternatively, it can also be imported and used in another module. By doing the main check, you can have that code only execute when you want to run the module as a program and not have it execute when someone just wants to import your module and call your functions themselves. Reference: https://developer.rhino3d.com/guides/rhinopython/python-remote-local-module/
You write a module (a .py file) where it can be executed directly. Alternatively, it can also be imported and used in another module. By doing the main check, you can have that code only execute when you want to run the module as a program and not have it execute when someone just wants to import your module and call your functions themselves. 
Reference: https://developer.rhino3d.com/guides/rhinopython/python-remote-local-module/
HOW TO OPEN VCE FILES

Use VCE Exam Simulator to open VCE files
Avanaset

HOW TO OPEN VCEX FILES

Use ProfExam Simulator to open VCEX files
ProfExam Screen

ProfExam
ProfExam at a 20% markdown

You have the opportunity to purchase ProfExam at a 20% reduced price

Get Now!